笃慎博达,修齐治平

东喜“新文”

氧化应激模型——通向抗氧化领域的“大门”

2022年8月23日,以本院研究生倪俊为第一作者撰写的细胞代次对氧化应激模型影响的论文《细胞代次t-BHP诱导Caco-2细胞构建氧化应激模型的影响》在线刊出于北大中文核心期刊《食品工业科技》杂志上。

衰老与长寿是一个永恒的话题,而机体之所以会衰老主要是因为过氧化,而食用抗氧化物质是减缓过氧化最主要的手段。氧化应激模型是筛选抗氧化物质最常见的技术手段,但影响氧化应激模型的构建因素有很多,而细胞代次是目前不被注意的构建因素之一,那细胞代次会影响氧化应激模型的构建吗?

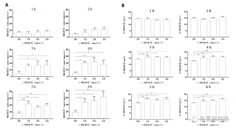
怀揣着疑问,小倪和他的团队成员以不同浓度t-BHP(1 mmoL/L、2 mmoL/L和3 mmoL/L)处理第F15代Caco-2细胞1 h、2 h、3 h、4 h、5 h和6h后测定不同处理下细胞丙二醛(MDA)和8-羟基脱氧鸟苷(8-OHdG)的含量,以确定构建Caco-2细胞氧化应激模型的基础条件。再以8-OHdG为分子标志物,探究细胞代次(F14、F15、F18、F19和F20)对Caco-2细胞氧化应激模型构建的影响。

注:A:不同浓度t-BHP诱导Caco-2细胞产生MDA含量差异; B:不同浓度t-BHP诱导Caco-2细胞产生8-OHdG含量差异

注:不同细胞代次对Caco-2细胞内8-OHdG含量的影响

研究表明采用1、2和3 mmoL/L t-BHP处理F15代Caco-2细胞3h-6h均可稳定构建氧化应激模型。当以2.0 mmoL/L t-BHP处理不同代次Caco-2细胞5 h后,F14、F15和F18代细胞的8-OHdG浓度均显著高于对照(P<0.05),而F19和F20代细胞的8-OHdG浓度与对照无显著差异。基于上述的研究结果,我们发现了细胞代次会影响氧化应激模型的构建,同时建议F19代之前的Caco-2细胞采用2 mmoL/L t-BHP处理细胞5h可稳定构建氧化应激模型。

小倪同学推测,细胞的生长状态会直接影响到氧化应激模型的构建,而随着细胞代次的增长,细胞的生长状态发生了改变,从而影响了氧化应激模型的构建。

最后,小倪同学提醒大家,生命离不开氧化,而日常生活中食用瓜果蔬菜即可满足人体所需的抗氧化成分,希望大家多多吃蔬菜水果嗷。

撰稿 /  倪俊

审校 /  张淑霞

Scroll to Top